Ad Code

Uji Validitas dan Reliabilitas Instrumen Penelitian dengan SPSS

Uji Validitas Item adalah uji statistik yang digunakan guna menentukan seberapa valid suatu item pertanyaan mengukur variabel yang diteliti. Uji Reliabilitas item adalah uji statistik yang digunakan guna menentukan reliabilitas serangkaian item pertanyaan dalam kehandalannya mengukur suatu variabel.

1. Uji Validitas Item

Uji Validitas Item atau butir dapat dilakukan dengan menggunakan software SPSS.[1] Untuk proses ini, akan digunakan Uji Korelasi Pearson Product Moment. Dalam uji ini, setiap item akan diuji relasinya dengan skor total variabel yang dimaksud. Dalam hal ini masing-masing item yang ada di dalam variabel X dan Y akan diuji relasinya dengan skor total variabel tersebut.

Agar penelitian ini lebih teliti, sebuah item sebaiknya memiliki korelasi (r) dengan skor total masing-masing variabel ≥ 0,25.[2] Item yang punya r hitung < 0,25 akan disingkirkan akibat mereka tidak melakukan pengukuran secara sama dengan yang dimaksud oleh skor total skala dan lebih jauh lagi, tidak memiliki kontribusi dengan pengukuran seseorang jika bukan malah mengacaukan.

Cara melakukan Uji Validitas dengan SPSS:
  1. Buat skor total masing-masing variable.
  2. Klik Analyze > Correlate > Bivariate
  3. Masukkan seluruh item variable x ke Variables
  4. Masukkan total skor variable x ke Variables
  5. Ceklis Pearson ; Two Tailed ; Flag
  6. Klik OK
  7. Lihat kolom terakhir. Nilai >= 0,25.
  8. Lakukan hal serupa untuk Variabel Y.


2. Uji Reliabilitas Item

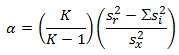
Uji Reliabilitas dilakukan dengan uji Alpha Cronbach. Rumus Alpha Cronbach sebagai berikut:

Uji Validitas dan Reliabilitas Instrumen Penelitian dengan SPSS

Note:

Uji Validitas dan Reliabilitas Instrumen Penelitian dengan SPSS

Jika nilai alpha > 0,7 artinya reliabilitas mencukupi (sufficient reliability) sementara jika alpha > 0,80 ini mensugestikan seluruh item reliabel dan seluruh tes secara konsisten secara internal karena memiliki reliabilitas yang kuat.[3] Atau, ada pula yang memaknakannya sebagai berikut:
  • Jika alpha > 0,90 maka reliabilitas sempurna
  • Jika alpha antara 0,70 – 0,90 maka reliabilitas tinggi
  • Jika alpha antara 0,50 – 0,70 maka reliabilitas moderat
  • Jika alpha < 0,50 maka reliabilitas rendah[4]

Jika alpha rendah, kemungkinan satu atau beberapa item tidak reliabel: Segera identifikasi dengan prosedur analisis per item. Item Analysis adalah kelanjutan dari tes Aplha sebelumnya guna melihat item-item tertentu yang tidak reliabel. Lewat ItemAnalysis ini maka satu atau beberapa item yang tidak reliabel dapat dibuang sehingga Alpha dapat lebih tinggi lagi nilainya.

Reliabilitas item diuji dengan melihat Koefisien Alpha dengan melakukan Reliability Analysis dengan SPSS ver. 16.0 for Windows. Akan dilihat nilai Alpha-Cronbach untuk reliabilitas keseluruhan item dalam satu variabel. Agar lebih teliti, dengan menggunakan SPSS, juga akan dilihat kolom Corrected Item Total Correlation.

Nilai tiap-tiap item sebaiknya ≥ 0.40 sehingga membuktikan bahwa item tersebut dapat dikatakan punya reliabilitas Konsistensi Internal.[5] Item-item yang punya koefisien korelasi < 0.40 akan dibuang kemudian Uji Reliabilitas item diulang dengan tidak menyertakan item yang tidak reliabel tersebut. Demikian terus dilakukan hingga Koefisien Reliabilitas masing-masing item adalah ≥ 0.40.

Cara Uji Reliabilitas dengan SPSS:
  1. Klik Analyze > Scale > Reliability Analysis
  2. Masukkan seluruh item Variabel X ke Items
  3. Pastikan pada Model terpilih Alpha
  4. Klik OK

Jika nilai alpha > 0,7 artinya reliabilitas mencukupi (sufficient reliability) sementara jika alpha > 0,80 ini mensugestikan seluruh item reliabel dan seluruh tes secara konsisten secara internal karena memiliki reliabilitas yang kuat.[6] Atau, ada pula yang memaknakannya sebagai berikut:
  • Jika alpha > 0,90 maka reliabilitas sempurna
  • Jika alpha antara 0,70 – 0,90 maka reliabilitas tinggi
  • Jika alpha antara 0,50 – 0,70 maka reliabilitas moderat
  • Jika alpha < 0,50 maka reliabilitas rendah[7]


Sumber Kutipan


[1] David D. Vaus, Analyzing Social Science Data: 50 Key Problems in Data Analysis (Thousand Oaks: Sage Publications, 2002) p.31-9.

[2] Leroy R. Lindsay and Joel Stein, eds., Technological Advances in Rehabilitation (Philadelphia, Pennsylvania: Elsevier, 2019) p. 402

[3] Sebastian Rainsch, Dynamic Strategic Analysis: Demystifying Simple Success Strategies (Wiesbaden: Deutscher Universitasts-Verlag, 2004) p.167.

[4] Perry Roy Hilton and Charlotte Brownlow, SPSS Explained (East Sussex : Routledge, 2004) p.364.

[5] John W. Lounsbury, Lucy W.Gibson, Richard A. Saudargas, “Scale Development” dalam Frederick T.L. Leong and James T. Austin, The Psychology Research Handbook: A Guide for Graduate Students and Research Assistants (Thousand Oaks: Sage Publications, Inc., 2006) p.144.

[6] Sebastian Rainsch, Dynamic ..., loc.cit.

[7] Perry Roy Hilton and Charlotte Brownlow, SPSS ...., op.cit. p. 364.


Disclaimer

Artikel Uji Validitas dan Reliabilitas Instrumen Penelitian dengan SPSS ini adalah karya saya yang dahulu beralamat di:
https://www.setabasri.com/2012/04/uji-validitas-dan-reliabilitas-item.html
https://setabasri01.blogspot.com/2012/04/uji-validitas-dan-reliabilitas-item.html


Tanya-Jawab Uji Validitas dan Reliabilitas 

Sebagian diskusi pada komentar artikel ini sudah dipindahkan menjadi posting di artikel ini:
Masalah Validitas Reliabilitas 1
Masalah Validitas Reliabilitas 2
Silakan berkunjung bilamana sempat

Posting Komentar

0 Komentar