Ad Code

Uji Korelasi Spearman dengan SPSS dan Manual

Uji korelasi Spearman dengan SPSS pada hakikatnya serupa dengan secara manual. Uji korelasi Spearman adalah uji statistik yang ditujukan untuk mengetahui hubungan antara dua atau lebih variabel berskala Ordinal. Selain Spearman, D.A. de Vaus menyebutkan bahwa uji korelasi yang sejenis dengannya adalah Kendall-Tau.[1] Asumsi uji korelasi Spearman adalah: (1) Data tidak berdistribusi normal dan (2) Data diukur dalam skala Ordinal.

Rumus uji korelasi spearman untuk jumlah sampel < = 30 adalah:

Seta Basri Tetap Menulis - Uji Korelasi Spearman dengan SPSS dan Manual
Di mana:

Seta Basri Tetap Menulis - Uji Korelasi Spearman dengan SPSS dan Manual

Uji Korelasi Spearman Secara Manual

Jika dilakukan secara manual, maka tata tertib melakukan uji korelasi Spearman adalah:
  1. Jumlahkan skor item-item di tiap variabel untuk mendapatkan skor total variabel (misalnya cari skor total variabel X dengan menotalkan item-item variabel X).
  2. Lakukan rangkin skor total x (rx) dan rangking skor total y (ry).
  3. Cari nilai d yaitu selisih rx – ry .
  4. Cari nilai d2 yaitu kuadrat d (selisih rx – ry).
 
Agar lebih mudah, kerjakan dengan Excel dan buat saja tabel seperti contoh di bawah ini:

Seta Basri Tetap Menulis - Uji Korelasi Spearman dengan SPSS dan Manual

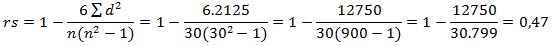
Setelah data dihitung dalam tabel, lalu masukkan ke dalam rumus uji korelasi Spearman:

Seta Basri Tetap Menulis - Uji Korelasi Spearman dengan SPSS dan Manual

Dengan demikian korelasi Spearman (rs) variabel x dengan variabel y dalam contoh adalah 0,47. Nilai korelasi Spearman hitung ini (rs) lalu diperbandingkan dengan Spearman Tabel (rs tabel). Keputusan diambil dari perbandingan tersebut. Jika rs > rs tabel, H0 ditolak dan H1 diterima. Jika rs hitung <= rs tabel, H0 diterima, H1 ditolak. Pengambilan keputusan dari contoh di atas adalah karena rs hitung > rs tabel maka H0 ditolak dan H1 diterima. Artinya terdapat hubungan antara variabel x dengan variabel y. Lalu, bagaimana menginterpretasikannya?

Tabel Interpretasi Koefisien Korelasi Versi de Vaus

D.A. de Vaus menginterpretasikan koefisien korelasi sebagai berikut:

Seta Basri Tetap Menulis - Uji Korelasi Spearman dengan SPSS dan Manual

Dalam contoh di atas maka kekuatan hubungan antara x dan y adalah hubungan moderat (karena 0,47).


Data Saya Lebih Besar dari 30 !

Rumus di atas berlaku jika jumlah sampel lebih kecil atau sama dengan 30 (<=30). Lalu, bagaimana menghitung uji korelasi Spearman dengan lebih dari 30 sampel? Caranya mudah saja yaitu Cari Nilai z hitung terlebih dahulu.

Cara mencari nilai z hitung sebagai berikut:

Seta Basri Tetap Menulis - Uji Korelasi Spearman dengan SPSS dan Manual

Di mana:

Seta Basri Tetap Menulis - Uji Korelasi Spearman dengan SPSS dan Manual

Nilai rs dicari dengan cara yang sama seperti perhitungan terdahulu (di bagian atas). Dalam contoh sampel yang lebih besar dari 30 ini misalnya sampel menggunakan 50 responden. Maka perhitungannya sebagai berikut:

Seta Basri Tetap Menulis - Uji Korelasi Spearman dengan SPSS dan Manual

Nilai z hitung dalam sampel > 30 ini adalah 6,93. Pengambilan keputusan dalam sampel > 30 ini adalah membandingkan antara z hitung dengan z tabel. Z hitung sudah diperoleh sekarang tinggal z tabel.

Cara Mencari z Tabel

  1. Nilai z tabel dicari dari tabel Z (lihat buku-buku statistik). Caranya adalah:
  2. Tentukan Taraf Keyakinan Penelitian (misalnya 95%). Taraf Keyakinan 95% berarti Interval Keyakinan-nya (alpha) 0,05. Nilai 0,05 ini merupakan bentuk desimal dari 5% yang diperoleh dari pengurangan 100% selaku kebenaran absolut dengan 95% (100% - 95% = 5% atau 0,05).
  3. Tentukan Uji yang digunakan. Apakah 1 sisi (One-Tailed) atau 2 sisi (Two-Tailed). 
  4. Penentuan 1 sisi atau 2 sisi ini didasarkan hipotesis penelitian. Jika hipotesis hanya menyebutkan “terdapat hubungan” maka artinya bentuk hubungan belum ditentukan apakah positif atau negatif dan dengan demikian menggunakan uji 2 sisi. 
  5. Jika hipotesis menyatakan “terdapat hubungan positif” atau “terdapat hubungan negatif” maka artinya bentuk hubungan sudah ditentukan dan dengan demikian menggunakan uji 1 sisi.
  6. Jika Uji 2 Sisi (Two-Tailed) maka lihat Tabel Z. 
  7. Dalam uji 2 sisi Interval Keyakinan dibagi dua yaitu 0,05 / 2 = 0,025. 
  8. Cari pada kolom tabel nilai yang paling mendekati 0,025. 
  9. Dari nilai yang paling dekat tersebut tarik garis ke kiri sehingga bertemu dengan nilai 1,9 + 0,060 = 1,96. 
  10. Batas kiri pengambilan keputusan dengan kurva adalah –1,96 batas kanannya +1,96. 
  11. Keputusannya: Tolak H0 dan Terima H1 jika –z hitung < dari –1,96 dan > dari +1,96. 
  12. Sebaliknya, Terima H0 dan Tolak H1 jika – z hitung > -1,96 dan < dari +1,96.
 
Uji Korelasi Spearman dengan SPSS

Jika uji korelasi Spearman diadakan dengan SPSS maka langkah-langkahnya sebagai berikut:
  1. Totalkan item-item variabel x menggunakan menu Transform > Compute Variable > jumlahkan item-item variabel x.
  2. Totalkan item-item variabel y menggunakan menu Transform > Compute Variable > jumlahkan item-item variabel y.
  3. Buatlah Ranking bagi rx dan ry menggunakan menu Transform > Compute > Masukkan Skor Total Variabel X dan Variabel Y ke Variables > Pilih saja Smallest pada Assign Rank > Klik OK. Setelah itu muncul dua variabel baru yaitu rangking untuk x dan y (lihat di tab Variable View).
  4. Lakukan Uji Korelasi Spearman dengan SPSS dengan klik Analyze > Correlate > Bivariate > Masukkan Rangking X dan Ranking Y ke Variables > Pada Correlation Coefficient ceklis Spearman > Pada Test of Significance pilih 2-Tailed (jika 2 sisi) atau 1-Tailed (jika 1 sisi) > Klik OK.

Hasilnya output SPSS misalnya sebagai berikut:

Seta Basri Tetap Menulis - Uji Korelasi Spearman dengan SPSS dan Manual

Variabel X dan Variabel Y pada contoh output di atas berhubungan dalam koefisien 0,823. SPSS menunjukkan bahwa korelasi tersebut signifikan bahkan dalam Interval Keyakinan (alpha) yang lebih teliti lagi yaitu 0,01 untuk Uji 2 Sisi.

Pengambilan keputusannya sama dengan cara manual di atas yaitu membandingkan antara z hitung dengan z tabel. Atau bisa juga dengan Kurva Normal berikut:

Seta Basri Tetap Menulis - Uji Korelasi Spearman dengan SPSS dan Manual




Sumber Tulisan

[1] D.A. de Vaus, Survey in Social Research, 5th Edition (New South Wales: Allen and Unwin, 2002) p. 259.


Disclaimer

Artikel Uji Korelasi Spearman dengan SPSS dan Manual ini adalah karya saya yang dahulu beralamat di:
https://setabasri01.blogspot.com/2012/04/uji-korelasi-spearman-dengan-spss-dan.html


Disclaimer:
Sebagian diskusi pada komentar artikel ini  sudah dipindahkan menjadi posting di artikel ini:
Masalah Korelasi Spearman 1
Masalah Korelasi Spearman 2
Silakan berkunjung

Posting Komentar

0 Komentar